Aunque va contra el sentido común, siento decirte que no, que realmente el Vacío no puede estar vacío…….esta afirmación tan rotunda tiene su origen en la Física Cuántica. Parece un contrasentido, pero cuando nos topamos con el término Cuántica tienes que dejar el sentido común en casa. El Vacío a nivel subatómico es una estructura efervescente y quizás el estado más fundamental, pero también más misterioso de la Física. Te estarás preguntando……entonces qué demonios contiene?. Vamos a ello.

Imagina que hacemos lo siguiente, sacamos todos los objetos de una habitación sin ventanas, a nosotros también, claro. Sellamos el recinto, enfriamos al cero absoluto para que no haya radiación térmica y extraemos hasta la última molécula de aire, de modo que dentro no quede nada. ¿Nada? no, estrictamente hablando lo que hemos preparado es un volumen lleno de vacío……. pero en ese vacío seguirán ocurriendo cosas sorprendentes. Ahí empieza lo interesante.
Cómo dice el gran físico Alvaro de Rújula, “el Vacío es lo que mejor no entendemos”. Ni siquiera comprendemos aún a fondo la diferencia -haberla hayla- entre el vacío y la nada.
Antes de continuar, considera esto: la física Cuántica no es una mera especulación, al contrario, es posiblemente la teoría científica más exitosa de la historia. Sus predicciones en el mundo de lo extremadamente pequeño han sido comprobadas con una precisión extraordinaria, «es la base de casi toda nuestra tecnología actual«. Ya hablaremos un poquito de ella en otra charla, pero te adelanto que presenta un mundo mágico y fascinante……..la realidad del mundo microscópico, alucinaremos los dos.

Pero volvamos a nuestro tema. Las leyes de la mecánica Cuántica nos enseñan que el Vacío es, más bien, un constante fluctuar de partículas y antipartículas que se crean y se aniquilan espontánea e incesantemente (partículas virtuales) en un intervalo brevísimo de tiempo………imagino la cara que estás poniendo, no es para menos.
Es decir……….algo que no era, de repente puede ser, así sin más. La Física a niveles del mundo microscópico no sigue al sentido común.
El concepto de “partículas virtuales” es uno de los más profundos y difíciles de explicar con palabras cotidianas de toda la física. Lo más importante que tienes que saber es que las “partículas virtuales” no son partículas tal y cómo conocemos las «partículas reales» , sino fluctuaciones del propio Vacío. La Cuántica lo permite…….aunque parezca magia.
La razón inicial por la que nos parece imposible es debido a la imagen idealizada que tenemos del concepto de vacío, que asociamos al concepto de la ‘nada’, pero no es lo mismo. La nada como tal no existe en la naturaleza. Sin embargo, el Vacío se define como el estado sin partículas reales y de mínima energía que puede alcanzar un sistema, y esto no implica que deba ser igual a cero, ni que dentro de él no puedan aparecer y desaparecer cosas.
Ahora bien, seguro que te preguntarás, cómo es que el Universo permite crear algo de donde no hay nada. ¿hay alguna condición que se deba cumplir a priori para que el Vacío permita ese sorprendente proceso de creación espontánea?.
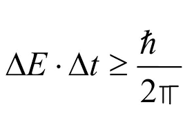
Pues sí que la hay, y es una muy concreta: el proceso para que una partícula se cree en el Vacío, así sin mas, se condiciona a que la relación entre la masa creada (la energía equivalente, en realidad) y el tiempo efectivo de existencia deben cumplir una relación matemática muy concreta, la que nos enseña el Principio de Indeterminación de Heisenberg.
Matizando un poco más…….este principio indica que conforme la precisión en el tiempo se hace mayor (el intervalo Δt tiende a cero), la ΔE (la precisión en la energía) permite que partículas cada vez de mayor masa aparezcan desde el Vacío, aunque sólo lo puedan hacer durante Δt segundos antes de volver al no-ser. La expresión matemática de esto que te cuento está a tu izquierda……..y tiene una importancia crucial en la comprensión del mundo de lo muy pequeño, el mundo de las partículas subatómicas. Nueva reverencia para el señor Heisenberg
Resumiendo, en el mundo cuántico “la realidad” posee una indeterminación intrínseca a su ser……………… tela marinera.
Recuerda que absolutamente todo lo que conoces está constituido por partículas subatómicas y estas obedecen religiosamente las leyes de la Cuántica. Tirando de ironía «llevamos la indeterminación en nuestro body».
Además, la materia está compuesta de átomos; más del 99% de un átomo consiste de espacio vacío. Lo cual, aunque nos cueste trabajo asimilar, significa que nosotros estamos casi completamente vacíos. Pero, como estamos descubriendo, ese Vacío puede ser algo muy concurrido, es más, puede ser cualquier cosa.

Un poco de culturilla. El señor Werner Heisenberg recibió el premio Nobel de Física en 1932 . Desarrolló entre 1925 y 1926 una de las formulaciones básicas de la mecánica cuántica, teoría que habría de convertirse en una de las principales revoluciones científicas del siglo XX. En 1927 enunció el llamado principio de indeterminación. Así de contundente es su gran mérito y solo con 24 añitos. Le ponemos cara.
El “principio de indeterminación” en realidad dice que en el mundo de lo muy pequeño, ciertas parejas de magnitudes nunca pueden medirse exactamente. Esto supuso una ruptura con mayúscula con la Física clásica, que asume que podemos medir todas las características de un sistema físico (la energía y el tiempo, por ejemplo) con tanta precisión como queramos……….fue un bombazo en el seno de la Física.
No pienses que esto sucede porque no estamos midiendo bien. No importa ni lo precisos que sean los instrumentos de medida ni las veces que lo intentemos. No podremos nunca medir simultáneamente ambas magnitudes con una precisión muy alta. Así lo dictan las leyes de la naturaleza del mundo subatómico…….Física Cuántica en estado puro.
También tienes que tener claro que en el Vacío, siempre que se considere un intervalo de tiempo suficientemente pequeño, aparecerán obligatoriamente fluctuaciones cuánticas. Es un comportamiento de la realidad del mundo de lo muy pequeño, y está expresado matemáticamente, cómo ya sabes, en el principio de indeterminación de Heisenberg………espero que todavía no te hayas mareado.
Estas fluctuaciones cuánticas son análogas a la aparición de pares de partícula-antipartícula, virtuales, emitidas y absorbidas en un tiempo muy breve, tanto menor cuanto mayor sea la energía acumulada por las partículas que emergen del vacío.
Las fluctuaciones cuánticas roban y reintegran la energía de forma tan rápida que no se pueden detectar directamente estas apariciones y desapariciones. No estamos hablando de filosofía o mitología, es una evidencia científica comprobable y comprobada.

Qué te parece?. Las propias leyes de la naturaleza, en este caso las del mundo microscópico, expresadas matemáticamente por la Física Cuántica nos dicen con claridad meridiana que el Vacío puede producir partículas de gratis. Lo entendamos o no, así es…….y esto es solo un adelanto de lo que la Cuántica y el mundo de las partículas elementales nos depara. Lo trataremos en otra charla y verás cómo se nos van a remover ciertas creencias y principios existenciales.
Se sabe desde los años 20 que nuestro universo se expande, y desde los años 90 que esa expansión es, asimismo, acelerada.
Podemos imaginar que el vacío es un depósito de energía. Las “partículas virtuales” son partículas que surgen del vacío, tomando prestada temporalmente parte de su energía. Existen de un modo fugaz y desaparecen llevándose la energía que tomaron prestada. Es decir harán todo aquello que puedan hacer «sin que las pillen».
Alan Guth, físico cosmólogo, decía en 1982 que “no hay ninguna comida gratis, pero el universo es la comida gratis por excelencia”. Guth formalmente propuso la idea cósmica de la inflación en 1981 , la idea de que el universo naciente paso por una fase de expansión exponencial inimaginable que fue impulsado por una densidad de energía del vacío…….de este tema, también increíble, sabes que tenemos una charla pendiente.
En resumen: la naturaleza del mundo microscópico actúa de la siguiente manera (principio de indeterminación de Heisenberg).
- Cuanto menor sea el tiempo, más masa puede poseer lo que emerge espontáneamente del Vacío.
- También, cuanto más tiempo desee existir algo que emergió del Vacío, menos masa (y por tanto energía) puede poseer.
El Vacío, que es mucho, inunda el espacio, y su incesante chisporrotear de partículas y antipartículas dota al universo de una energía enorme que lo empuja a acelerar su expansión.
Ahora bien, la aceleración cósmica observada por los astrónomos es muchísimo menor que la que, según los cálculos teóricos, la energía del Vacío debería propinarle al universo: Los cálculos arrojan como resultado que la energía del Vacío debería ser un quintillón de quintillón de veces más grande que la observada con nuestros telescopios. Se trata de la discrepancia entre teoría y experimento más grande que haya surgido jamás en disciplina científica alguna, un enigma no resuelto ……….estarás conmigo en que es un desconcierto total.
¿Cómo la física se puede equivocar tanto, si las mediciones han sido muy precisas por un lado y por otro? ¿Qué cancela esa inmensa energía, que debería existir, pero que no se detecta al observar el universo?. Es uno de los problemas más grandes y enigmáticos, que la Física aún no ha resuelto.
Ahora especulemos un poco…….pero recuerda, la base científica es muy poderosa.
- Según los modelos inflacionarios del origen del universo, las pequeñas diferencias de temperatura que se reflejan en la foto del Universo bebé, en la denominada Radiación de Fondo Cósmico que baña el universo y que son el origen de todo lo que conoces (desde las galaxias, pasando por por nuestro planeta y hasta nosotros mismos), derivan de las fluctuaciones del Vacío. Es la teoría más aceptada por el colectivo de todos los físicos.
- Vamos a por otra. El origen de nuestro Universo podría ser el resultado de una fluctuación cuántica que no colapsó y pudo continuar extendiéndose gracias al principio de indeterminación dada la baja (o nula) energía total que éste contiene…………..anota que dentro del paquete vamos nosotros también.
- Un poco de Filosofía. El brillante físico estadounidense David Bohm, influenciado por la filosofía de Krishnamurti pero sin alejarse del rigor científico, teorizó que el mundo que experimentamos es una manifestación superficial de un proceso energético profundo, como una ola que surge de un mar de energía infinita. ………..Lo sé, son palabras mayores.
- David Joseph Bohm fue un reconocidísimo físico americano, que hizo importantes contribuciones en los
campos de la Física teórica, la Filosofía y la Neuropsicología. Como persona, eligió no ceder a la presión durante la caza de brujas del senador McCarthy, acabó perdiendo su cátedra y abandonó Estados Unidos para irse a Brasil primero, Israel después y Reino Unido finalmente.
Como verás, de esta charla que estamos manteniendo podemos sacar la conclusión que la energía del Vacío, es un comportamiento extraordinario de la naturaleza a nivel subatómico, y que sin duda se puede prestar incluso a interpretaciones espirituales.
Pero una cosa es apreciar la reflexión y las asociaciones de ideas, y otra muy distinta, es creer que eso implica un “respaldo científico” a todas las ideas locas que se les pueda ocurrir a ciertos colectivos.
Según comentaba mi admirado Stephen Hawking……..hasta hace muy poco los científicos han estado demasiado ocupados desarrollando nuevas teorías que describen cómo es el Universo para preguntarse por qué es así. En cambio los filósofos, cuya profesión es preguntarse el porqué, no han sido capaces de mantenerse al día en el progreso de las teorías científicas

Creo que estamos los dos de acuerdo que es imprescindible para reflexionar acerca del significado de nuestra existencia y la de este inabarcable y enigmático Universo, que todos, filósofos, científicos y gente de la calle participemos o al menos nos interesemos en la discusión de la pregunta de por qué existimos nosotros y el Universo……..no hacerlo es perdernos en el inmenso circo que nos hemos montado en esta sociedad de «Sapiens».
La ciencia y en especial la Física cómo ciencia fundamental, cada vez están aportando más claves para las preguntas que el ser humano se hace desde que tuvo consciencia de si mismo y de su entorno.